Apiculteurs du Canton de Cernay et Environs
Formations et passion de l'abeille
Aller au contenu
Accueil
Les formations apicoles
Le rucher école
Qui sommes nous ?
Calendrier de la société
Matériel à disposition des membres
Liens et contacts
Apistory
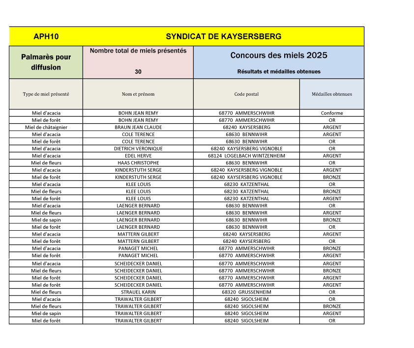
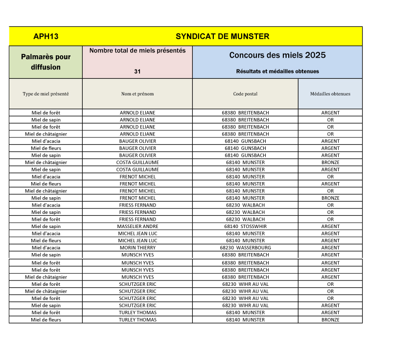
Résultats du Concours des Miels 2025
Résultats du Concours des Miels 2025
Caractéristiques des miels d’Alsace
Résultats du Concours des Miels des Apiculteurs Producteurs du Bas-Rhin et du Haut-Rhin, organisé par la Confédération des Apiculteurs d’Alsac
e
Rechercher :
Archives
Méta
Connexion